1. 자격요약
- □자격명 :
- 화공기사
- □영문명 :
- Engineer Chemical Industry
- □관련부처 :
- 고용노동부
- □시행기관 :
- 한국산업인력공단
- □응시자격 :
- 제한있음
- □자격분류 :
- 국가기술자격증
- □홈페이지 :
- www.q-net.or.kr
- □자격증 관계도
-
화공기사
2. 자격정보
□ 화공기사
○ 응시자격을 갖추고 한국산업인력공단에서 시행하는 화공기사 시험에 합격하여 그 자격을 취득한 자를 말함.
○ 화학공업의 발전을 위한 제반환경을 조성하기 위한 전문지식과 기술을 갖춘 전문기술인력을 양성하기 위하여 제정됨.
○ 기존의 검정형 시험방법 외에 과정평가형으로도 자격 취득이 가능.
□ 주요특징
○ 화학제품의 제조공정 전반에 걸친 계측, 제어, 관리, 감독업무와 화학장치의 분리기, 여과기 정제반응기, 유화기, 분쇄 및 혼합기 등을 제어, 조작, 관리, 감독하는 업무를 수행.
○ 산업화학, 플라스틱, 제약, 자원, 펄프 및 식품가공 플랜트의 운영 및 유지 관리를 감독.
○ 원료의 구조와 재질을 분석하여 새로운 합성물질을 연구.
□ 진로 및 전망
○ 취업
- 모든 산업의 기초를 이루는 화공분야는 폭넓은 영역으로 진출 가능.
- 정부투자기관을 비롯해 석유화학, 섬유, 정밀화학, 플라스틱공업화학, 고분자산업, 가스, 고무, 식품공업 등 화학제품을 제조, 취급하는 전 산업 분야로 진출이 가능.
- 관련 연구소에서 화학분석을 포함한 기술개발 및 연구업무를 담당.
- 품질검사전문기관에서 종사하기도 함.
○ 우대
- 화공 분야에서는 채용 시 자격증 소지자를 우대.
- 국가기술자격법에 의해 공공기관 및 일반기업 채용 시 그리고 보수, 승진, 전보, 신분보장 등에 있어서 우대받을 수 있음.
○ 가산점
- 6급 이하 및 기술직공무원 채용시험 시 가산점.
- 공업직렬의 화공 직류와 환경직렬의 일반환경, 폐기물 직류에서 채용계급이 8·9급, 기능직 기능8급 이하일 경우와 6·7급, 기능직 기능7급 이상일 경우 모두 5%의 가산점.
- 다만, 가산 특전은 매 과목 4할 이상 득점자에게만, 필기시험 시행 전일까지 취득한 자격증에 한함.
○ 자격부여
- 화공기사 자격을 취득하면, 산업안전보건법에 따라 지정검사기관의 검사자로 고용될 수 있음.
- 건설산업기본법에 의하면 산업 설비 공사업면허의 인력 보유요건으로 자격증 취득자를 선임토록 되어 있어 자격증 취득이 취업에 유리.
3. 시험정보
□ 시험일정 ( 원서접수 첫날 10:00부터 마지막 날 18:00까지 )
| 구분 | 필기원서접수 (인터넷) |
필기시험 | 필기합격 (예정자)발표 |
실기원서접수 | 실기시험 | 최종합격자 발표일 |
|---|---|---|---|---|---|---|
| 2024년 기사 1회 |
2024.01.23 ~
2024.01.26 |
2024.02.15 ~ 2024.03.07 |
2024.03.13 |
2024.03.26 ~ 2024.03.29 |
2024.04.27 ~ 2024.05.12 |
2024.06.18 |
| 2024년 기사 2회 |
2024.04.16 ~
2024.04.19 |
2024.05.09 ~ 2024.05.28 |
2024.06.05 |
2024.06.25 ~ 2024.06.28 |
2024.07.28 ~ 2024.08.14 |
2024.09.10 |
| 2024년 기사 3회 |
2024.06.18 ~
2024.06.21 |
2024.07.05 ~ 2024.07.27 |
2024.08.07 |
2024.09.10 ~ 2024.09.13 |
2024.10.19 ~ 2024.11.08 |
2024.12.11 |
□ 수수료
○필기 : 19,400원
○실기 : 55,700원
□ 출제경향
○ 필기 : 출제기준을 참조
○ 실기 : 복합형(필답형+작업형)으로 시행되며 출제기준 및 기출문제를 참조
- 작업형 : 화학공정 전반에 걸친 계측, 제어, 관리, 감독업무와 화학장치의 분리기, 여과기 정제반응기, 유화기, 분쇄 및 혼합기 등을 제어, 조작, 관리, 감독하는 능력을 평가
□ 출제기준
□ 취득방법
○ 응시자격
- 관련학과 : 대학의 화학과, 화학공학, 공업화학 등 관련학과
- 기술자격 소지자 : 동일(유사)분야 다른 종목 기사 / 산업기사 + 실무경력 1년 / 기능사 + 실무경력 3년
- 순수경력자 : 실무경력 4년(동일, 유사 분야)
- 동일직무분야 : 경영·회계·사무 중 생산관리, 광업자원 중 채광, 기계, 재료, 섬유·의복, 안전관리, 환경·에너지
○ 시험과목
- 필기
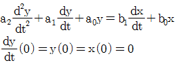
1) 화공열역학
2) 단위조작 및 화학공업양론
3) 공정제어
4) 공업화학
5) 반응공학
- 실기
1) 화학장치운전 및 화학제품제 실무
○ 검정방법
- 필기 : 객관식 4지 택일형 과목당 20문항(과목당 30분)
- 실기 : 복합형 [필답형(1시간 30분) + 작업형(약 4시간)]
○ 합격기준
- 필기 : 100점을 만점으로 하여 과목당 40점 이상, 전 과목 평균 60점 이상
- 실기 : 100점을 만점으로 하여 60점 이상
○ 제한시간
- 필기 : 150분
- 실기 : 330분



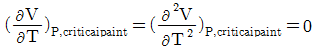
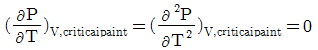
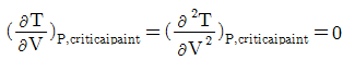
압축인자는 압축인자는 항상 1보다 작거나 같다.
혼합가스의 2차 비리얼 (virial)계수는 온도와 조성의 함수이다.
압력이 영(zero)에 접근하면 잔류 (residual)엔탈피나 엔트로피가 영(zero)으로 접근한다.
조성이 주어지면 혼합물의 임계치 (Tc, Pc, Zc)는 일정하다.